医学部受験専門理数塾(群馬・高崎)
日本大学医学部 N方式(第2期)数学の解答速報を掲載いたします。
受験された皆さん、本当にお疲れさまでした。
まずは 解答のみ速報として掲載いたします。
※詳しい解説は後日掲載予定です。
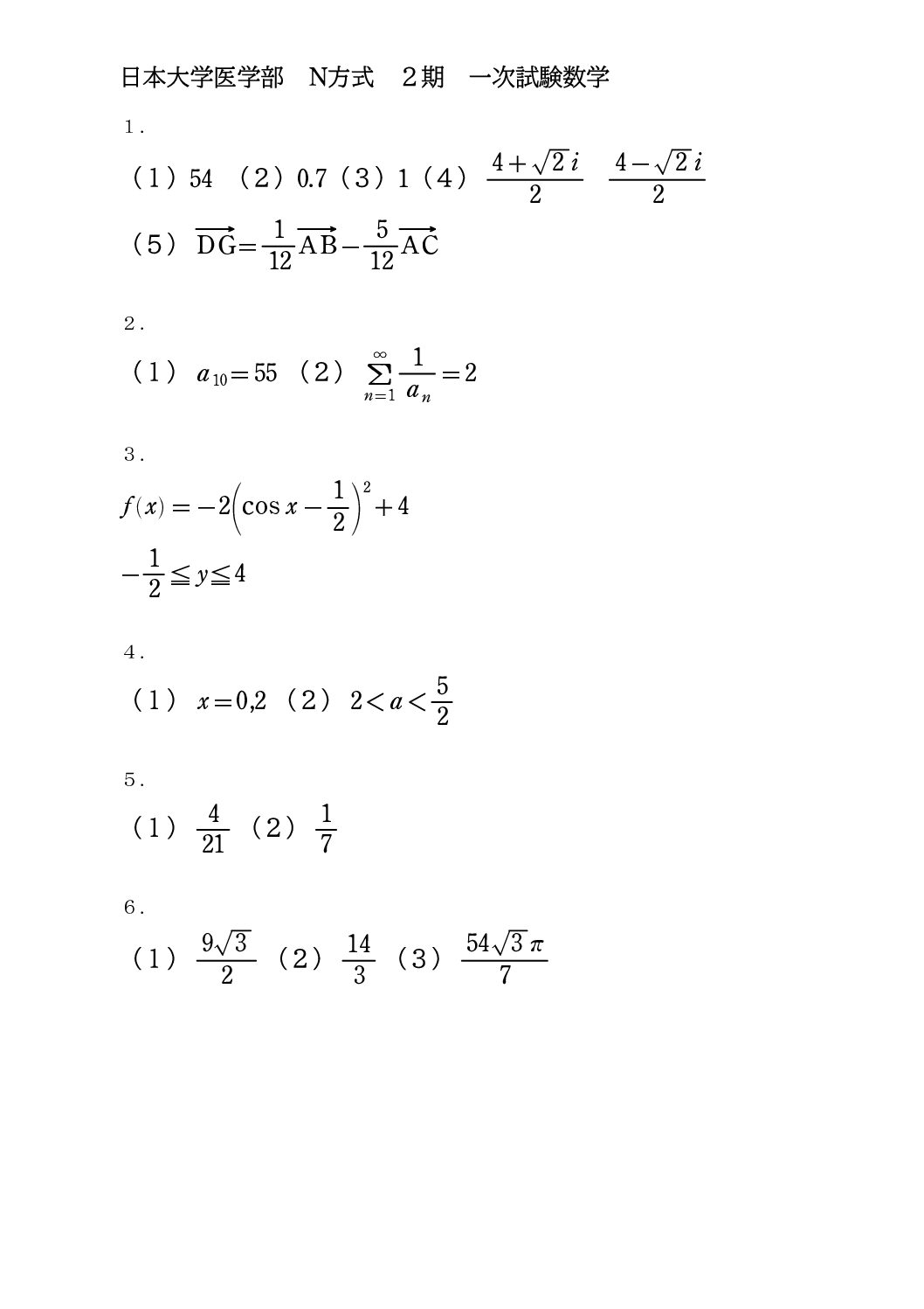
日本大学医学部 N方式 第2期 数学 一次試験 解答
試験の講評
今回の試験は
-
小問集合
-
数列
-
三角関数
-
指数関数
-
確率
-
微分積分
という、医学部入試としては標準的な構成でした。
難問というよりも典型問題を確実に処理できるかが問われる試験であったと言えるでしょう。
医学部入試では
-
計算ミス
-
条件整理のミス
-
場合分けのミス
によって得点を落とす受験生が多くいます。
今回の試験も基本問題を確実に得点できるか
が合否を分けるポイントだったと思われます。
受験生の皆さんへ
今回の試験を受けられた皆さん、本当にお疲れさまでした。
医学部入試は結果が出るまで落ち着かない時間が続きます。
合格発表を待つ間、不安な気持ちになる方も多いと思います。
もし今回の結果が思うようなものにならなかった場合でも、
次の一年の過ごし方によって結果は大きく変わります。
理数塾では
医学部受験専門の完全個別指導
として、医学部を目指す高校生や浪人生の指導を行っています。
これまで
-
群馬大学医学部
-
日本医科大学
-
順天堂大学
-
北里大学
-
杏林大学
などの医学部合格者を輩出してきました。
医学部受験について相談したいことがありましたら、
どうぞお気軽にご連絡ください。
理数塾 春期講習
理数塾では現在
医学部受験 春期講習
を実施しています。
対象
高校生 / 高卒生
医学部志望者限定
残席
あと2名
医学部入試問題を題材に
-
医学部数学の思考法
-
計算ミスを防ぐ学習方法
-
合格答案の作り方
を指導していきます。

