2026年3月7日に実施された
昭和医科大学 医学部 Ⅱ期試験 数学の解答速報です。
この記事では
・解答速報
・問題の難易度
・合格ライン予想
まで医学部専門塾の視点から解説します。
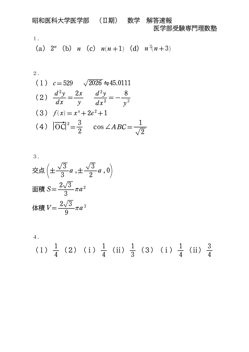
昭和医科大学 Ⅱ期 数学 解答速報(2026)
昭和医科大学 Ⅱ期数学の難易度
2026年の後期数学は
標準〜やや難
でした。
出題構成
| 分野 | 内容 |
|---|---|
| 二項定理 | 和の公式 |
| 微分 | 平均値の定理 |
| 陰関数 | 2階微分 |
| 図形 | 楕円領域 |
| 確率 | モンティホール型 |
医学部入試として
かなり良問のセットです。
差がつく問題
特に差がつくのは
第3問(楕円領域)です。
楕円同士の領域問題は医学部入試では頻出ですが
多くの受験生は
・式を立てられない
・対称性を使えない
ことで失点します。
合格ライン予想
昭和医科大学の期試験は
数学の出来が合否に大きく影響します。
理数塾の分析では
| 得点率 | 評価 |
|---|---|
| 70%以上 | 一次合格圏 |
| 60%前後 | ボーダー |
| 50%未満 | 厳しい |
と予想しています。
医学部受験専門 理数塾
理数塾では
医学部受験専門の完全個別指導を行っています。
実際に
・全国偏差値87(全国16位)
・医学部合格実績
など結果を出しています。
医学部を本気で目指す受験生はぜひ一度ご相談ください。

