本日2026年2月5日に実施された聖マリアンナ医科大学 医学部 数学 の解答速報と講評を公開します。
受験直後の今だからこそ、難易度はどうだったのか、どこで差がついたのか、合格ラインに届く可能性はあるのか、を冷静に整理することが重要です。
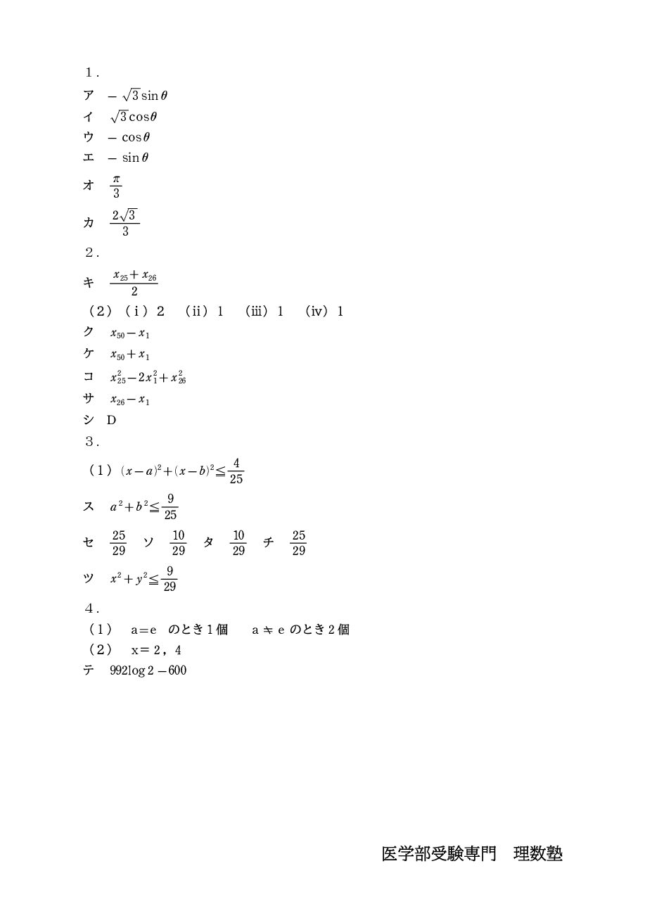
聖マリアンナ医科医学部 数学 解答速報
理数塾が入試に強い理由
理数塾では、医学部入試を意識して日頃から次のようなことを意識して授業を行っています
① 標準問題を絶対に落とさない訓練
医学部入試は難問勝負ではありません。
標準問題を100%取る 計算ミスをゼロに近づける 処理速度を上げる これを徹底します。
今回の試験も、ここで差がつきました。
② 「わかったつもり」を排除する指導
理数塾では
解説を聞いて終わり 解けた気になる ことを許しません。
必ず再現できるか 自力で解けるか 応用できるか
ここまで確認します。だから入試で崩れません。
③ 合格から逆算したカリキュラム
場当たり的な勉強ではなく、入試日から逆算して必要な力を積み上げる。これが理数塾の戦略です。
医学部受験は努力量より 戦略 です。
最後に
今日の試験結果はゴールではありません。ここからの動きで未来は変わります。
医学部合格は戦略で決まります。理数塾は本気の受験生を本気で伸ばします。
医学部専門 個別指導【理数塾】
理数塾は医学部志望専門 数学・物理・化学特化 完全個別戦略指導 少数精鋭制
ただ教える塾ではありません。合格までのルートを設計する塾です。

